Page 7 - Chytrý zpravodaj - Křižanov 05/2025
P. 7

k ŘIŽaNovsk Ý ZpRavoDa J                                                                            strana 7

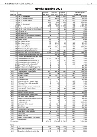
                                            návrh rozpočtu 2026
   2   3   4   5   6   7   8   9   10   11   12